TST—55型
一、用途及使用說明
本儀器可供測定粘質土在變水頭下滲透試驗。
二、結構性能
該儀器與WS—55滲透儀原理用途完全相同,在壓緊方式上改成中間螺旋桿旋壓,并對同類型儀器不足之處做了適當改進,操作使用更為簡便。
儀器主要由上蓋,底座,套座,環刀,透水石,螺桿等組成(見示意圖)。
本儀器不附供水設備 技術Q Q:9 16129270
本儀器設計制造符合GB9357-88、《土工試驗規程》(SL237-1999)、《公土工試驗規程》(T0130-93)中的粘質土在變水頭下滲透試驗。


三、主要規格,
1、試樣尺寸:Φ61.8mm、高40mm(面積 30cm2)
2、儀器外形尺寸:Φ118(管咀除外)高度約155mm
3、儀器凈重約3.5kg
四、操作步驟
1、參照水電部土工試驗規程SD128-012-84,制備樣,或參照JTJ051—93《公路土工試驗規程》T013—93
2、把滲水石,密封圈放入底座中,將套筒內壁涂一層凡士林,放入土樣環刀,刮凈多余凡士林置于底座上。
3、放上密封圈,透水石,上蓋,旋緊螺桿,不得漏水漏氣。
4、把進水管口與供水裝置聯通,售后咨詢:1.3722705231并通水排氣放平儀器。
5、在不大于200cm水頭作用下靜置某一時間,待出水管口有水逸出后即可開始測定。
6、試驗時,將水頭管沖水至需要高度后關管夾開動秒表,同時測記起始水頭h1,經過時間t后,再測記終了水頭h2,如此連續測2-3次后,再使水頭管水位回落至需要高度,再連續測記數次,前后需6次以上,試驗終止。同是測記試驗時與終止時的水溫。
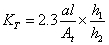
7、按式計算(變水頭)滲透系數;
式中:
a——變水頭管截面積,cm2;
L——滲徑,等于試樣高度cm;
h1——開始時水頭,cm;
h2——終止時水頭,cm;
五、注意事項:
1、上蓋出水管處橡膠管不易套至根部 ,須留出6mm以上。以防與套筒受壓。
2、每次用完應擦凈晾干,密封圈宜抹以滑石粉保存。
3、切土環刀應妥善保管,防止刃口碰損。
售后咨詢:1372.2705231
六、備件
除結構圖示外備有:
O型密封圈 Ф80×3.1 2件
O型密封圈 Ф75×5.7 2件
透水石 Ф68×10 1件
Ф65×10 1件
說明書
合格證










